宁波市第一医院心律中心 书心剑律 2020年6月30日
目前,临床上预防房颤卒中主要有药物治疗[抗凝药物包括维生素K拮抗剂(VKA)、新型口服抗凝药(NOAC)]及介入治疗(左心耳封堵术,LAAC)两大类方式 。其中,应用经皮封堵器进行左心耳封堵术来预防房颤卒中的有效性和安全性已经得到了相关研究的验证和众多专家的认可。但它的临床净获益与药物治疗相比,孰优孰劣尚未可知。本期《书心剑律》我们汇总了两项近期发布的具有相当国际影响力的研究结果,与大家分享。
首先是来自欧洲的APPLY研究,这是一项双中心、观察性、回顾性研究,结果发表在最近的《JAA EuroIntervention》杂志。
该研究连续入选500例通过AMPLATZER封堵器完成LAAC的患者,并通过倾向评分匹配,入选500例药物(VKA或NOAC)治疗患者。研究的主要有效终点是包括卒中、全身性栓塞、心血管相关死亡/不明原因死亡在内的复合终点。主要安全终点是手术相关严重不良事件及严重出血事件。在评估临床净获益时,以上风险均考虑在内。
图1:【APPLY研究】研究人群匹配前后。
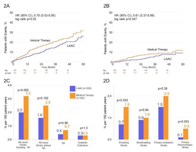
该研究在2.7±1.5年间共随访了2645人-年,两组患者主要有效终点:LAAC组75/1342,5.6% vs. 药物组102/1303,7.8% 每100人-年(HR 0.70;95% CI,0.53-0.95,p=0.026);主要安全终点:LAAC组48/1342,3.6% vs. 药物组60/1303,4.6% 每100人-年(HR 0.80;95% CI,0.55-1.18,p=0.21);复合风险终点:LAAC组109/1342,8.1% vs. 药物组142/1303,10.9% 每100人-年(HR 0.76;95% CI,0.60-0.97,p=0.018)。LAAC组的全因死亡率及心血管相关死亡率均较药物组更低[全因死亡率:111/1342,8.3%vs. 151/1303 ,11.6% 每100人-年(HR,0.72;95% CI,0.56-0.92,p=0.005);心血管相关死亡率:54/1342,4.0% vs. 84/1303,6.5% 每100人-年(HR,0.64;95% CI,0.46-0.89,p=0.007)]。
图2:【APPLY研究】两组患者主要有效终点对比。
图3:【APPLY研究】两组患者主要安全终点对比。
图4:【APPLY研究】两组患者临床净获益对比。
可见,与药物治疗相比,通过AMPLATZER封堵器进行LAAC治疗能获得更好的临床净获益:有效性更高、安全性相似、全因死亡率及心血管相关死亡率更低。
但这毕竟只是一项观察性、回顾性研究,而非直接头对头的随机对照研究,其结论仍有待于更高级别的研究结果来证实。为此,接下来我们看看近期为全球学术界期待以久的首个多中心、随机、非劣效性研究:LAAC与DOACs(直接口服抗凝剂)用于治疗高风险房颤患者(PRAGUE-17)研究。
该研究纳入需要OAC治疗的非瓣膜性房颤、有需要干预或住院的出血史、服用OAC时有心脏栓塞事件史、和/或CHA₂DS₂-VASc≥3分且HAS-BLED>2分的患者,随机接受LAAC或DOACs治疗。主要复合终点是卒中、TIA、系统性栓塞、心血管死亡、大出血或临床相关非大出血、与手术/器械相关的并发症。
研究中,高危患者队列(CHA₂DS₂-VASc评分4.7±1.5)随机接受LAAC(n=201)或DOACs(n=201)治疗。LAAC器械治疗组手术成功率为90.0%(181/201),手术并发症发生率为4.5%(9/201)。随访中位时间为19.9个月,LAAC和DOACs的主要终点发生率分别为10.99%和13.42%(HR0.84,P=0.44)。两组间在复合终点的方面无明显差异。主要包括:卒中/TIA、临床大出血事件和心血管死亡。
图5:【PRAGUE-17研究】主要有效终点对比。
图6:【PRAGUE-17研究】次要有效终点对比。
图7:【PRAGUE-17研究】事后per protocol分析和事后on treatment分析。
可见,在卒中高危伴出血风险增加的患者中,LAAC在预防与房颤相关的心血管、神经和出血事件方面不劣于DOACs,但受到研究设计的影响,该研究尚未能证实两者谁更优秀。
总 结
最后,尽管LAAC封堵这项技术的安全性逐渐提高,我们仍然需要建立更长期随访和更大量的患者数据评估风险和获益。PRAGUE-17研究为接下来左心耳封堵的进一步发展,以及在特殊患者群体中替代口服抗凝药预防心源性卒中奠定了坚实基础。
文献来源
DOI: 10.4244/EIJ-D-20-00201 【PRAGUE-17研究】摘自@与耳同心
责编 | 审校:杜先锋 编译:方任远 编辑:方任远

